उच्च-गुणवत्तेची बीटाडेक्स सल्फोब्यूटिल इथर सोडियम (एसबीई- β- सीडी)-फार्मा ग्रेड सायक्लोडेक्स्ट्रिन एक्स्पींट-सीएएस 182410-00-0. विद्रव्यता, स्थिरता आणि जैव उपलब्धता सुधारते.
	 
 
	
बीटाडेक्स सल्फोब्यूटिल इथर सोडियम (एसबीई- β- सीडी)-फार्मा ग्रेड सायक्लोडेक्स्ट्रिन एक्झीपिएंट-सीएएस 182410-00-0
	
देखावा: पांढरा पावडर, गोड, निर्लज्ज आणि निर्दोष
	
शेल्फ लाइफ: 36 महिने
	
ग्रेड: इंजेक्शन ग्रेड
	
अनुप्रयोग: फार्मास्युटिकल्स फील्ड
	
मानक: यूएसपी, ईपी
	
विद्रव्यता: ≥100 (25 ℃, जी/100 मिली)
	
भारी धातू: ≤0.0025%
	
साखर कमी करणे: .0.05%
	
	
सल्फोब्यूटेलथर- β- सायक्लोडेक्स्ट्रिन फार्मास्युटिकल एक्झीपियंट केवळ औषध विद्रव्यता वाढवू शकत नाही, औषधाची स्थिरता आणि सुरक्षितता सुधारू शकत नाही, कारण प्रशासनाच्या इंजेक्शन साइटला उत्तेजन कमी करू शकते, औषध द्रुतगतीने आवश्यक रक्ताच्या एकाग्रतेपर्यंत पोहोचते, औषधाच्या कृतीचा कालावधी वाढवितो.
	
इंट्रानासल ड्रग वेगवान शोषण, वेगवान अभिनय, उच्च जैव उपलब्धता, सोयीस्कर प्रशासन, रूग्णांद्वारे स्वीकारणे सोपे आहे आणि यकृत प्रथम पास इफेक्ट आणि इतर फायदे टाळता येतात, हे फार्मास्युटिकल संशोधनातील हॉटस्पॉट्सपैकी एक बनले आहे. तथापि, अनुनासिक औषधांच्या आत प्रवेश केल्यामुळे, अनुनासिक पोकळीतील बर्याच एंजाइममुळे अधोगती आणि अनुनासिक आसंजन होऊ शकते.
	
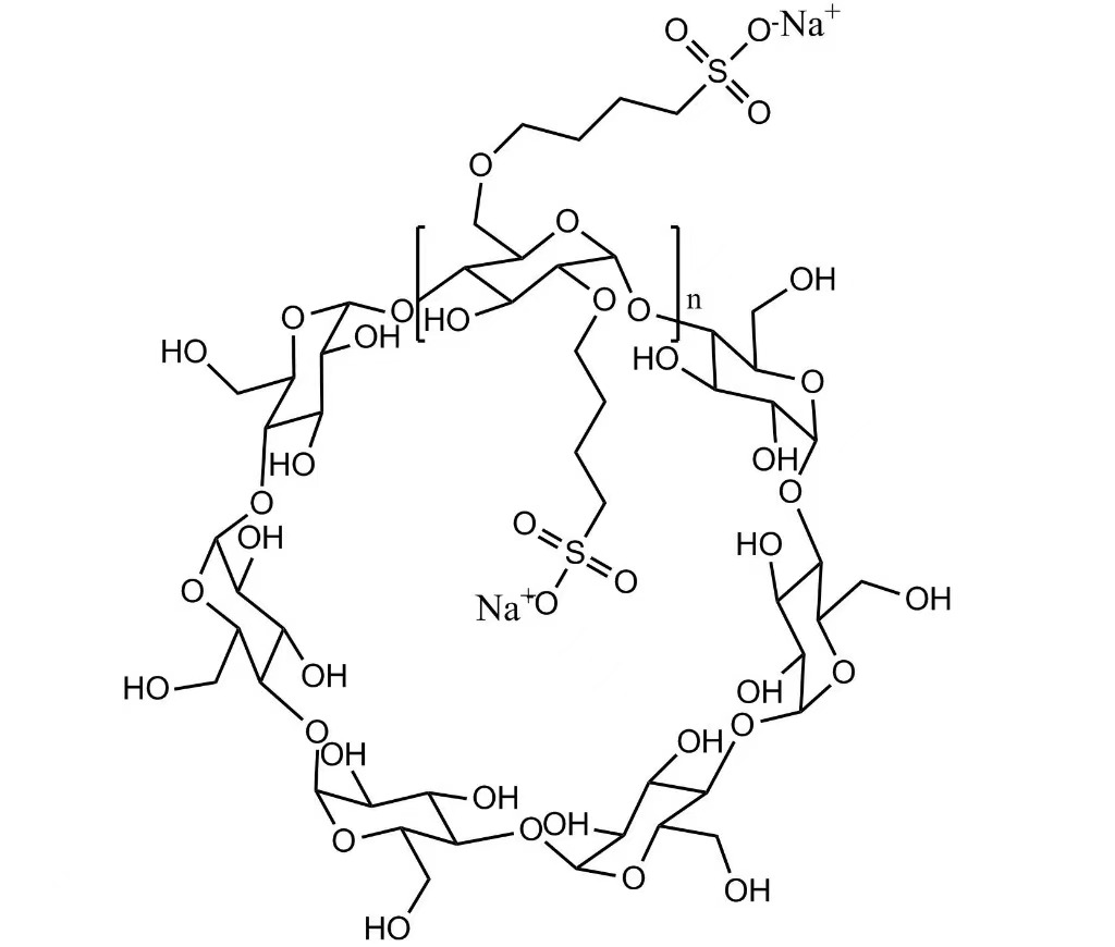
सल्फोब्यूटेलथर- β- सायक्लोडेक्स्ट्रिन फार्मास्युटिकल एक्झीपिएंट एक सोडियम मीठ आहे जेव्हा बीटाडेक्स अल्कधर्मी परिस्थितीत 1,4-ब्युटेनेसल्फोनिक acid सिड लैक्टोनद्वारे अल्किलेटेड असतो. हे एक आयनॉन आहे, अत्यंत पाण्याचे विद्रव्य बीटाडेक्स डेरिव्हेटिव्ह आहे. सल्फोब्यूटेलथर- β- सायक्लोडेक्स्ट्रिन फार्मास्युटिकल एक्झीपियंट ड्रग रेणूंसह एकत्रित केले जाऊ शकते ज्यामुळे नॉन-कोव्हॅलेंट तयार होते ज्यामुळे औषधाची स्थिरता, पाण्याचे विद्रव्यता आणि सुरक्षितता वाढते, त्याचे मूत्रपिंडाचे विषाक्तता कमी होते, औषधाचे रिलीज दर नियंत्रित करते, औषध सोडण्याचे दर नियंत्रित करते, खराब वास इ.
	
	
	 
 
	
झियान डेली बायोकेमिकल इंडस्ट्री कंपनी, लि. सायक्लोडेक्स्ट्रिन आणि त्याच्या डेरिव्हेटिव्हजचे संशोधन आणि विकास, उत्पादन आणि विक्रीत तज्ञ असलेले एक उच्च-टेक एंटरप्राइझ आहे.
२ August ऑगस्ट, १ 1999 1999. रोजी त्याची स्थापना झाल्यापासून, कंपनी "अॅक्सेसरीज, गुणवत्ता प्रथम, प्रामाणिक सेवा, प्रथम श्रेणीसाठी प्रयत्नशील" यावर लक्ष केंद्रित करण्याच्या गुणवत्तेच्या धोरणाचे पालन करीत आहे. 20 वर्षांहून अधिक मेहनत आणि विकासानंतर, कंपनीकडे सध्या डिलि ब्रँड हायड्रोक्सीप्रॉपिल बीटाडेक्स, डेली ब्रँड बीटाडेक्स सल्फोब्यूटिल इथर सोडियम आहेत. वरील उत्पादने नोंदणीकृत आणि एफडीएकडे दाखल केली गेली आहेत.
	
	 
	
 बीटाडेक्स सल्फोब्यूटिल इथर सोडियम सीएएस क्रमांक 182410-00-0
बीटाडेक्स सल्फोब्यूटिल इथर सोडियम सीएएस क्रमांक 182410-00-0 सल्फोब्यूटिल इथर बीटा सायक्लोडेक्स्ट्रिन सोडियम
सल्फोब्यूटिल इथर बीटा सायक्लोडेक्स्ट्रिन सोडियम बीटाडेक्स सल्फोब्यूटिल इथर सोडियम इंजेक्शन ग्रेड
बीटाडेक्स सल्फोब्यूटिल इथर सोडियम इंजेक्शन ग्रेड डीएमएफ बीटाडेक्स सल्फोब्यूटिल इथर सोडियम यूएसपी ईपी
डीएमएफ बीटाडेक्स सल्फोब्यूटिल इथर सोडियम यूएसपी ईपी बीटाडेक्स सल्फोब्यूटिल इथर सोडियम सीएएस 182410-00-0
बीटाडेक्स सल्फोब्यूटिल इथर सोडियम सीएएस 182410-00-0 डीएमएफ बीटाडेक्स सल्फोब्यूटिल इथर सोडियम 182410-00-0
डीएमएफ बीटाडेक्स सल्फोब्यूटिल इथर सोडियम 182410-00-0