कीवर्ड:बीटाडेक्स सल्फोब्युटिल इथर सोडियम
बीटाडेक्स सल्फोब्युटिल इथर सोडियमफार्मास्युटिकल एक्सिपियंट तंत्रज्ञानात क्रांती घडवून आणली आहे. हे अत्यंत पाण्यात विरघळणारे सायक्लोडेक्स्ट्रिन डेरिव्हेटिव्ह सक्रिय फार्मास्युटिकल घटकांसह (APIs) स्थिर समावेशन कॉम्प्लेक्स तयार करण्यास सक्षम करते, ज्यामुळे पूर्वी खराब विद्राव्यता आणि अस्थिरतेमुळे मर्यादित असलेली औषधे तयार करणे शक्य होते.
इंजेक्शन करण्यायोग्य औषध विद्राव्यता, जैवउपलब्धता आणि सुरक्षितता लक्षणीयरीत्या सुधारून, आधुनिक औषध वितरण प्रणालींमध्ये बीटाडेक्स सल्फोब्युटिल इथर सोडियम एक महत्त्वपूर्ण घटक बनला आहे. त्याची अद्वितीय आण्विक रचना हायड्रोफोबिक औषध रेणूंना कार्यक्षम आण्विक एन्कॅप्सुलेशनद्वारे वैद्यकीयदृष्ट्या व्यवहार्य बनण्यास अनुमती देते.
खराब विद्रव्य संयुगे औषध वितरण प्रणालीला आव्हान देत आहेत. पारंपारिक सूत्रीकरण धोरणे पुरेशी विद्राव्यता किंवा स्थिरता प्राप्त करण्यात अयशस्वी ठरतात, ज्यामुळे अनेक आशादायक औषध उमेदवारांना रुग्णांपर्यंत पोहोचण्यापासून रोखले जाते. रूग्णांची सुरक्षितता राखून या मर्यादांवर मात करण्यासाठी आधुनिक औषधी संशोधन अधिकाधिक प्रगत सहायकांवर अवलंबून आहे.

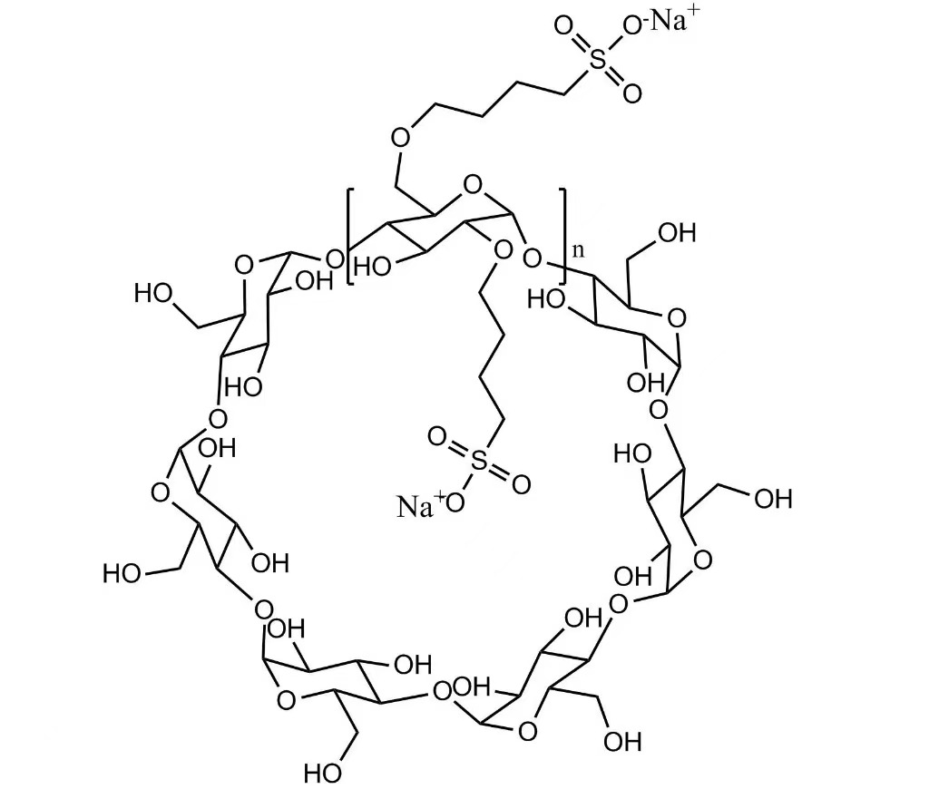
सल्फोब्युटाइल इथर सायक्लोडेक्स्ट्रिनबीटा-सायक्लोडेक्स्ट्रिन बॅकबोनवर सल्फोब्युटिल गटांचा परिचय करून तयार केलेला ॲनिओनिक सायक्लोडेक्स्ट्रिन डेरिव्हेटिव्ह आहे. मूळ सायक्लोडेक्स्ट्रिनच्या तुलनेत हे संरचनात्मक बदल नाटकीयरित्या जलीय विद्राव्यता वाढवते.
एक्सिपियंट औषधाच्या रेणूंसह गैर-सहसंयोजक समावेश संकुल तयार करतो. सायक्लोडेक्स्ट्रिनची हायड्रोफोबिक आतील पोकळी लिपोफिलिक एपीआय होस्ट करते, तर हायड्रोफिलिक बाह्य पृष्ठभाग पाण्याची विद्राव्यता राखते. हे एन्कॅप्सुलेशन फार्माकोकिनेटिक्स सुधारते आणि संवेदनशील संयुगे रासायनिक ऱ्हासापासून संरक्षण करते.
प्रतिस्थापनाची डिग्री थेट द्रावण कार्यक्षमतेवर प्रभाव पाडते. उच्च प्रतिस्थापन पातळी विद्राव्यता सुधारते, परंतु इष्टतम कार्यक्षमतेसाठी सुरक्षिततेसह विद्राव्य शक्ती संतुलित करणे आवश्यक आहे.
वैज्ञानिक अभ्यासातून असे दिसून आले आहे की बीटाडेक्स सल्फोब्युटिल इथर सोडियम कमी रक्तरंजित क्रियाकलाप आणि अनेक पारंपारिक विद्राव्यांच्या तुलनेत मुत्र संचय कमी करते, ज्यामुळे ते वारंवार पॅरेंटरल प्रशासनासाठी योग्य बनते.
अनेक अँटीफंगल एजंट्स पाण्याच्या खराब विद्राव्यतेमुळे ग्रस्त असतात, ज्यामुळे त्यांचा इंजेक्शन करण्यायोग्य वापर मर्यादित होतो. बीटाडेक्स सल्फोब्युटिल इथर सोडियम व्होरिकोनाझोल आणि पोसाकोनाझोल सारख्या औषधांसह स्थिर कॉम्प्लेक्स बनवते, ज्यामुळे प्रभावी इंजेक्टेबल फॉर्म्युलेशन सक्षम होतात.
विद्राव्यता सुधारण्यापलीकडे, जटिलता pH सहिष्णुता आणि साठवण स्थिरता वाढवते, शेल्फ लाइफ वाढवते आणि आक्रमक बुरशीजन्य संसर्गासाठी उपचारात्मक परिणाम सुधारते.
अँटीव्हायरल औषधांना अनेकदा विद्राव्यता अडथळे येतात जे पॅरेंटरल डिलिव्हरी प्रतिबंधित करतात. सल्फोब्युटाइल इथर सायक्लोडेक्स्ट्रिन एपीआयचे ऱ्हास होण्यापासून संरक्षण करून आणि नियंत्रित प्रकाशन सक्षम करून स्थिर इंजेक्शन करण्यायोग्य फॉर्म्युलेशन सक्षम करते.
रेमडेसिव्हिर फॉर्म्युलेशनचे यश गंभीर व्हायरल इन्फेक्शन्सवर उपचार करण्यासाठी सायक्लोडेक्स्ट्रिन-आधारित विद्राव्यीकरणाचे महत्त्व अधोरेखित करते जेथे जलद आणि विश्वासार्ह औषध वितरण गंभीर आहे.
अनेक कॅन्सर एजंट कमी जलीय विद्राव्यता प्रदर्शित करतात, क्लिनिकल विकासात अडथळा आणतात. Betadex Sulfobutyl इथर सोडियम अनुकूल सुरक्षा प्रोफाइल राखून या शक्तिशाली संयुगे तयार करण्यास अनुमती देते.
त्याचे कमी ऊतींचे संचय आणि कमी होणारी विषाक्तता विशेषतः ऑन्कोलॉजी उपचारांसाठी मौल्यवान आहे ज्यांना वारंवार डोस देणे आवश्यक आहे, सुधारित सहनशीलतेसह उच्च उपचारात्मक प्रदर्शनास सक्षम करते.
इमर्जन्सी कार्डिओव्हस्कुलर केअर अनेकदा इंजेक्टेबल ड्रग्सवर अवलंबून असते ज्यात जलद सुरुवात होते. हे एक्सपियंट खराब विरघळणारे कार्डिओएक्टिव्ह एजंट्सचे स्थिर फॉर्म्युलेशन सक्षम करते.
बीटाडेक्स सल्फोब्युटिल इथर सोडियमची कमी हेमोलाइटिक क्रियाकलाप हे विशेषत: तडजोड हृदय कार्य असलेल्या रुग्णांसाठी योग्य बनवते जे हेमोलाइटिक तणाव सहन करू शकत नाहीत.
बालरोग आणि वृद्ध रुग्णांना तोंडी डोस फॉर्मसह वारंवार आव्हानांना सामोरे जावे लागते. सल्फोब्युटाइल इथर सायक्लोडेक्स्ट्रिन वापरून इंजेक्शन करण्यायोग्य आणि द्रव फॉर्म्युलेशन वयोगटांमध्ये विश्वसनीय औषध वितरण प्रदान करतात.
आण्विक encapsulation देखील अप्रिय चव मुखवटा, रुग्ण अनुपालन सुधारण्यासाठी, विशेषतः बालरोग फॉर्म्युलेशन मध्ये.
दुर्मिळ रोग उपचारांमध्ये सहसा जटिल भौतिक-रासायनिक गुणधर्मांसह API समाविष्ट असतात. बीटाडेक्स सल्फोब्युटिल इथर सोडियम विद्राव्यतेच्या आव्हानांवर मात करण्यास मदत करते विस्तृत एक्सिपियंट पुनर्विकासाशिवाय.
त्याचे स्थापित सुरक्षा प्रोफाइल आणि स्केलेबल उत्पादन नियामक आणि विकास जोखीम कमी करते, अनाथ औषध व्यापारीकरणाला गती देते.
सायक्लोडेक्स्ट्रिन एन्कॅप्स्युलेशन एपीआयचे हायड्रोलिसिस, ऑक्सिडेशन आणि फोटोडिग्रेडेशनपासून शारीरिकरित्या रिऍक्टिव्ह गटांचे संरक्षण करते.
ही स्थिरता वाढ जागतिक वितरणास समर्थन देते, विशेषत: मर्यादित कोल्ड-चेन पायाभूत सुविधा असलेल्या प्रदेशांमध्ये.
Xi'an Deli Biochemical Industry Co., Ltd. सायक्लोडेक्स्ट्रिन उत्पादनात 26 वर्षांपेक्षा जास्त कौशल्य आणते. प्रतिस्थापन पदवी, अशुद्धता आणि एंडोटॉक्सिनसाठी प्रत्येक बॅचची कठोरपणे चाचणी केली जाते.
बीटाडेक्स सल्फोब्युटिल इथर सोडियमच्या 200 मेट्रिक टन पेक्षा जास्त वार्षिक उत्पादन क्षमतेसह, आमच्या सुविधा क्लिनिकल आणि व्यावसायिक अनुप्रयोगांसाठी स्थिर, दीर्घकालीन पुरवठा सुनिश्चित करतात.
प्रमाणित उत्पादन प्रक्रिया बॅच-टू-बॅच परिवर्तनशीलता कमी करतात, ज्यामुळे फार्मास्युटिकल ग्राहक मजबूत आणि पुनरुत्पादक फॉर्म्युलेशन डिझाइन करू शकतात.

आमची उत्पादने प्रमुख फार्माकोपीअल आवश्यकतांचे पालन करतात, जे फार्मास्युटिकल उत्पादकांना जागतिक बाजारपेठांमध्ये सातत्यपूर्ण गुणवत्ता आणि नियामक आत्मविश्वास प्रदान करतात.
विस्तारित वैज्ञानिक साहित्य आणि नियामक मंजूरी प्रगत औषध वितरण प्रणालींमध्ये बीटाडेक्स सल्फोब्युटिल इथर सोडियमच्या व्यापक अवलंबना समर्थन देत आहेत.
इच्छित विद्राव्यता वाढ आणि औषध प्रकाशन प्रोफाइल साध्य करण्यासाठी जटिल निर्मिती गतीशास्त्र आणि थर्मोडायनामिक्स अनुकूल करणे आवश्यक आहे.
समावेशन कॉम्प्लेक्सना API चे अचूक परिमाण करण्यासाठी रुपांतरित विश्लेषणात्मक पद्धतींची आवश्यकता असू शकते. प्रमाणित, विशिष्ट विश्लेषणात्मक तंत्रे महत्त्वपूर्ण आहेत.
सुसंगतता अभ्यास दीर्घकालीन फॉर्म्युलेशन स्थिरता सुनिश्चित करतात जेव्हा एकापेक्षा जास्त एक्सिपियंट्स एकत्रितपणे वापरले जातात.
जीन थेरपी, सेल थेरपी आणि वैयक्तिक औषध सायक्लोडेक्स्ट्रिन-आधारित वितरण तंत्रज्ञानासाठी आशादायक क्षेत्रांचे प्रतिनिधित्व करतात.
सायक्लोडेक्स्ट्रिन डेरिव्हेटिव्ह्ज नियंत्रित प्रकाशन आणि सुधारित स्थिरतेसह निश्चित-डोस संयोजन सक्षम करतात.
नॅनोपार्टिकल्ससह सायक्लोडेक्स्ट्रिनचे संयोजन करणारी संकरित प्रणाली लक्ष्यित औषध वितरणामध्ये नवीन सीमा उघडत आहेत.
फार्मास्युटिकल विकासात प्रगती होत असताना, बीटाडेक्स सल्फोब्युटिल इथर सोडियम उत्कृष्ट सुरक्षा प्रोफाइल राखून जटिल फॉर्म्युलेशन आव्हानांना तोंड देत आहे. उपचारात्मक क्षेत्रांमध्ये त्याची अष्टपैलुत्व पुढील पिढीच्या औषध वितरण प्रणालीसाठी एक आवश्यक सहायक बनवते.
प्रश्न: काय बनवतेसल्फोब्युटाइल इथर सायक्लोडेक्स्ट्रिनइतर विद्राव्य घटकांपेक्षा श्रेष्ठ?
उत्तर: हे सेंद्रिय सॉल्व्हेंट्स आणि सर्फॅक्टंट्सच्या तुलनेत कमी विषारीपणा, कमी रक्तविकार, उलट करता येण्याजोगे जटिलता आणि सुधारित औषध स्थिरता देते.
प्रश्न: प्रतिस्थापनाची डिग्री कामगिरीवर कसा परिणाम करते?
उ: उच्च प्रतिस्थापनाने विद्राव्यता सुधारते, परंतु इष्टतम कार्यक्षमतेसाठी विद्राव्य कार्यक्षमता आणि सुरक्षितता संतुलित करणे आवश्यक आहे.
प्रश्न: ते तोंडी फॉर्म्युलेशनमध्ये वापरले जाऊ शकते का?
उत्तर: होय, जरी प्रामुख्याने इंजेक्टेबल्ससाठी डिझाइन केलेले असले तरी, उपचारात्मक फायद्यांद्वारे न्याय्य असताना ते तोंडी फॉर्म्युलेशनमध्ये विद्राव्यता वाढवू शकते.
बीटाडेक्स सल्फोब्युटिल इथर सोडियमशिआन डेली बायोकेमिकल इंडस्ट्री कं, लिमिटेड कडून प्रगत इंजेक्टेबल ड्रग फॉर्म्युलेशनसाठी सुरक्षित, स्थिर आणि स्केलेबल सोल्यूशन प्रदान करते. येथे आमच्याशी संपर्क साधाxadl@xadl.comअधिक जाणून घेण्यासाठी.